近日,北京语言大学心理学院江新老师团队在双语研究领域的知名期刊《Bilingualism: Language and Cognition》(SSCI, JCR Q1, IF= 2.5)发表了题为“Neural tuning for Chinese characters in adult Chinese L2 learners: evidence from an ERP study”的研究论文,揭示了拼音文字背景的汉语第二语言学习者汉字视觉词加工的神经机制。

研究概述
视觉词汇识别是一个迅速而复杂的多维度分析过程,它涉及对单个字母形态、字母组合规则以及整个单词的加工。以往词汇识别的研究显示,与视觉控制刺激相比,单词能够引发更显著的N170波幅反应,这反映了大脑对视觉词加工的敏感性(例如,Bentin et al., 1999; Maurer et al., 2006; Eberhard-Moscicka et al., 2015)。这种神经敏感性对于实现流畅阅读至关重要。前人研究将文字加工的神经敏感性分为粗略调谐(N170对字词与字符串的对比反应)和精细调谐(N170对字词与假词、字词与辅音串的对比反应),展示了不同层面上的视觉词加工。对于拼音文字背景的学习者而言,掌握汉字构成了一项挑战,因为汉字在视觉和结构上与基于字母的文字系统存在显著差异。本研究旨在探讨成人汉语第二语言学习者在汉字视觉词加工中是否表现出粗略和精细的神经调谐,以及这些调谐效应是否随着汉语阅读经验的增加而发生变化。此外,本研究还考察了神经调谐效应是否与L2学习者在认知—读写技能方面的个体差异相关。
本研究采用事件相关电位(ERP)技术,以汉语真字(高频汉字)、假字(符合汉字正字法规则但不构成实际词汇)、非字(违反正字法规则)、笔画组合和简笔画(作为控制刺激)作为实验材料,通过内隐的颜色检测任务,分析不同刺激类型N170波幅的差异,探究了不同汉语阅读水平的L2学习者在汉字视觉词加工中的神经调谐效应。具体而言,本研究通过比较汉字与笔画组合探究汉字字形加工的粗略调谐;假字与非字的对比来探究对汉字正字法规则加工的精细调谐;真字与假字的对比来探究对整字词汇语义表征的精细调谐。
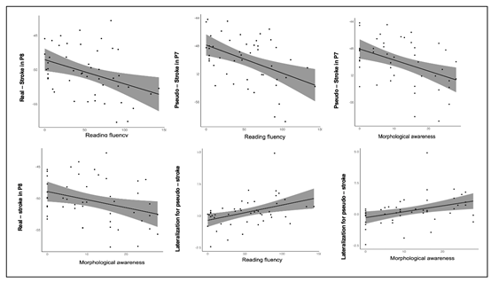
研究结果显示,初级水平的成人汉语L2学习者在左侧和右侧脑区对汉字引发的N170波幅比笔画组合更大,这表明学习者已经发展出区分汉字和非汉字的神经选择性反应(粗略调谐)(图1)。值得注意的是,中级水平的L2学习者仅在左侧脑区表现出汉字比笔画组合更大的N170波幅,而假字比非字的N170波幅更大,这表明随着阅读经验的积累,中级学习者展现出对汉语正字法规则的敏感性,表现为精细调谐。同时,大脑对汉字加工的调谐效应从双侧化转向左侧化(图2)。此外,脑电与行为的相关分析揭示,L2学习者在调谐效应方面的个体差异与汉语阅读流畅性、语素意识存在中度相关,这表明这些认知和阅读技能对于汉语L2学习者在阅读习得过程中对汉字的神经调谐至关重要(图3)。

图1.初级和中级汉语阅读水平的二语学习者和汉语母语者五种刺激类型(真字、伪字、假字、笔画组合和线条画)在左、右半球脑区的波幅图。

图2.汉语二语者和母语者粗略调谐效应(真字和假字与笔画组合的N170差异),精细调谐效应(真字和假字、假字与非字之间的N170差异)的地形图分布。

图3.汉语二语者读阅读流畅度和语素意识与文字调谐效应(包括粗略调谐、精细调谐和调谐效应左侧化)的相关图。
本研究为成人汉语二语者在汉语视觉词加工的神经调谐效应提供了重要证据,这些发现对于汉语作为第二语言学习和教学具有潜在的启示。
北京语言大学硕士毕业生、香港中文大学心理系宋冰冰博士为该论文的第一作者,北京语言大学心理学院江新教授为该论文的第一通讯作者,香港中文大学Urs Maurer教授为该论文的共同通讯作者。中国科学院心理研究所李甦研究员为该论文的共同作者。该项研究得到国家社会科学基金重大项目(17ZDA305)以及北京语言大学一流学科团队支持计划(2023YGF07)的支持。
论文信息:
Song, B., Jiang, X., Maurer, U., & Li, S. (2024). Neural tuning for Chinese characters in adult Chinese L2 learners: evidence from an ERP study. Bilingualism: Language and Cognition, 1–14. https://doi.org/ 10.1017/S1366728924000403

撰稿:宋冰冰
审核:江新